top of page
Filter by Tags
Given in Exam (F)
Given in Exam (H)
Formula Name
Formula
Image
Category
Tier
Exam (F)
Exam (H)
Factorised quadratic form
(x + a)(x + b)
Algebra
F
No
No
Area of sector
θ/360 × πr²
Geometry
H
No
No
Each interior angle (regular polygon)
(n - 2) × 180° / n
Geometry
F
No
No
Brackets with indices
Algebra
F
No
No
Alternate angles
Equal (parallel lines)
Geometry
F
No
No
Equation of straight line
y = mx + c
Algebra
F
No
No
Three consecutive odd numbers
2n+1,2n+3,2n+5
Number
H
No
No
Power of 0
Algebra
F
No
No
Perpendicular lines
m1 × m2 = -1
Algebra
H
No
No
Area of parallelogram
base × height
Geometry
F
No
No
Arc length of sector
θ/360 × 2πr
Geometry
H
No
No
Mean
Sum of values / number of values
Probability
F
No
No
tan θ
opposite / adjacent
Geometry
F
Yes
Yes
Cyclic quadrilateral
Opposite angles sum to 180∘180∘
Geometry
F
No
No
Quadratic Sequences
an2+bn+can2+bn+c (find differences)
Algebra
H
No
No
Angles in a semicircle
90∘90∘ (right angle)
Geometry
F
No
No
Tangent of a circle
Perpendicular to radius at point of contact
Geometry
F
No
No
Congruent triangles
Geometry
F
No
No
Angles around a point
Sum to 360
Geometry
F
No
No
Pythagoras’ theorem
a² + b² = c²
Algebra
F
No
No
Opposite angles
Equal (vertically opposite)
Geometry
F
No
No
Compound interest formula
Principal × (Multiplier )^time
Number
F
Yes
Yes
Quadratic graph
y=ax2+bx+c (parabola)
Algebra
F
No
No
P(A or B)
P(A) + P(B) - P(A and B)
Probability
F
Yes
Yes
Exterior angle (regular polygon)
360° / n
Geometry
F
No
No
An even number
2n
Number
H
No
No
Trigonometric graph
y=sin⁡(x),cos⁡(x),tan⁡(x)y=sin(x),cos(x),tan(x)
Algebra
H
No
No
Completing the square formula
a(x + d)² + e
Algebra
H
No
No
P(A and B)
P(A) × P(B) if independent
Probability
H
No
No
3D Pythagoras
√(x² + y² + z²)
Geometry
H
Yes
Yes
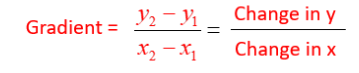
Gradient formula
(y2 - y1) / (x2 - x1)
Algebra
F
No
No
P (A and B)
P(A and B)=P(A given B)xP(B)
Probability
H
No
Yes
Volume of cone
(π × radius² × height) / 3
Geometry
H
No
No
Midpoint formula
((x1 + x2)/2, (y1 + y2)/2)
Algebra
F
No
No
Median
Middle value when ordered
Probability
F
No
No
Surface area of sphere
4 × π × radius²
Geometry
H
No
No
Conditional probability
P(A B) = P(A and B) / P(B)
Probability
H
No
No
Volume of cuboid/prism
length × width × height
Geometry
F
Yes
Yes
Multiplying indices
Algebra
H
No
No
cos θ
adjacent / hypotenuse
Geometry
F
Yes
Yes
Circumference of circle
2 × π × radius
Geometry
F
Yes
Yes
Linear graph
y=mx+c
Algebra
H
No
No
Percentage change formula
New−OldOld×100
Number
F
No
No
Area of rectangle
length × width
Geometry
F
Yes
Yes
Logarithmic graph
Algebra
H
No
No
Chord of a circle
Perpendicular bisector passes through centre
Geometry
H
No
No
Area of triangle using sine
(1/2) × a × b × sin C
Geometry
H
No
Yes
Area of triangle
(base × height) / 2
Geometry
F
No
No
Frequency density
Frequency Density=FrequencyClass WidthFrequency Density=Class WidthFrequency​
Statistics
H
No
No
Equation of circle
x squared + y squared = r squared
Algebra
H
No
No
Difference of two squares
a² - b² = (a + b)(a - b)
Algebra
H
No
No
Quartiles and Interquartile Range
Statistics
No
No
Cosine rule
a² = b² + c² - 2bc × cos A
Geometry
F
No
Yes
Angles in the same segment theorem
Angles subtended by the same arc are equal
Geometry
F
No
No
Mode
Most frequent value
Probability
F
No
No
Sum of interior angles
(n - 2) × 180°
Geometry
F
No
No
Reciprocal graph
Algebra
H
No
No
Parallel lines
m1 = m2
Algebra
F
No
No
Reverse Percentages
Number
H
No
No
Turning point formula
For y=ax2+bx+cy=ax2+bx+c, vertex at x=−b2ax=−2ab​
Algebra
H
No
No
Distance between two points
√((x2 - x1)² + (y2 - y1)²)
Algebra
F
No
No
Fractional indices
Algebra
F
No
No
Rounding / Truncating/ Significant
Number
F
No
No
Alternate segment theorem
Angle between tangent & chord = angle in alternate segment
Geometry
F
No
No
sin θ
opposite / hypotenuse
Geometry
F
Yes
Yes
Angles on a straight line
Sum to 180∘180∘
Geometry
F
No
No
Corresponding angles
Equal (parallel lines)
Geometry
F
No
No
Volume of sphere
(4/3) × π × radius³
Geometry
H
No
No
Area of circle
π × radius²
Geometry
F
Yes
Yes
Cubic graph
y=ax3+bx2+cx+d
Algebra
H
No
No
Volume of cylinder
π × radius² × height
Geometry
H
No
No
Transformations of graphs
Algebra
H
No
No
Area of trapezium
(a + b) / 2 × height
Geometry
F
Yes
Yes
An odd number
2n+1
Number
H
No
No
Negative indices
Algebra
F
No
No
Area of segment
Area of sector - Area of triangle
Geometry
H
No
No
Trig Exact Values
Geometry
F
No
No
Exponential graph
Algebra
H
No
No
Range
Maximum - minimum
Probability
F
No
No
Quadratic formula
x = [-b ± √(b² - 4ac)] / (2a)
Algebra
F
No
Yes
Dividing indices
Algebra
F
No
No
Angle at the centre theorem
Angle at centre = 2×2× angle at circumference
Geometry
F
No
No
3D Trigonometry
Use trigonometric ratios in 3D space
Geometry
H
No
No
Three consecutive even numbers
2n,2n+2,2n+4
Number
H
No
No
Surface area of cone
π × radius × slant height + π × radius²
Geometry
H
No
No
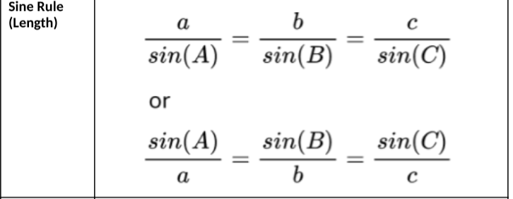
Sine rule
a / sin A = b / sin B = c / sin C
Geometry
F
No
Yes
Roots of quadratic (link to factorisation)
x = -a, x = -b
Algebra
H
No
No
bottom of page